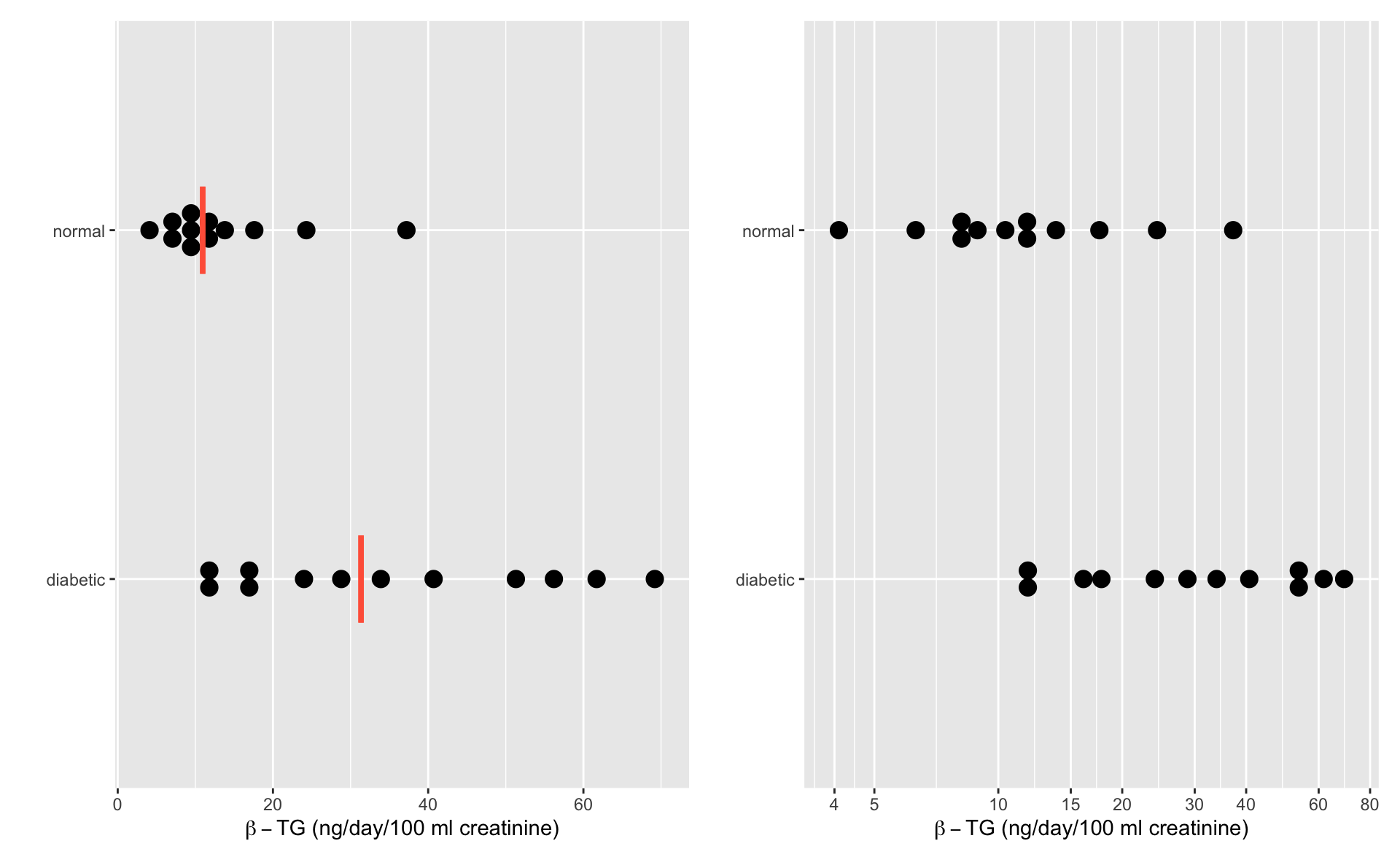
Welch Two Sample t-test
data: btg by status
t = 3.3838, df = 15.343, p-value = 0.003982
alternative hypothesis: true difference in means between group diabetic and group normal is not equal to 0
95 percent confidence interval:
8.07309 35.41024
sample estimates:
mean in group diabetic mean in group normal
35.27500 13.53333







